CIE1976Lab均匀颜色空间又简称CIELab颜色空间,是CIE于1976年提出的均匀颜色空间之一。该均匀颜色空间克服了非均匀颜色空间的局限性,在表示颜色之间的差异时与人眼之间的一致性较好。本文对CIE1976Lab均匀颜色空间及色差公式做了介绍。

CIE1976Lab均匀颜色空间:
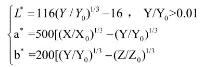
CIE1976L*a*b*均匀颜色空间是一种柱面极坐标,它通过对CIE1931系统的XYZ直角坐标进行非线性变换而来,如下图所示。其中L*表示主观亮度,a*和b*表示色度。其中L*越大,颜色越亮;a*轴的正方向表示红色的变化,a*轴的负方向表示绿色的变化;b*轴的正方向表示黄色的变化,b*轴的负方向表示蓝色的变化。这也是对立色空间模型的来源。

CIE1976L*a*b*的计算表达式如下:

其中,X,Y,Z分别为CIE 1931标准色度学系统的三刺激值,X0,Y0,Z0为观察样品时使用的照明光源所对应的标准照明体三刺激值。一般情况下,定义亮度最大,即Y0=100。
CIE1976Lab均匀颜色空间色差公式:
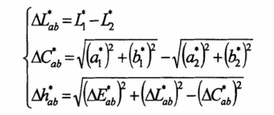
均匀颜色空间能够反映主观视觉感受,因此坐标系中任意两点的距离表示人眼感受到的色差,即:

其中,L1*、a1*、b1*和L2*、a2*、b2*分别表示坐标系中任意两点的坐标参数。另外该色差公式也定义了与主观视觉感受直接对应的亮度差△L*ab饱和度差△C*ab和色调差△h*ab。




