第四军医大学与延安大学联合医学研究团队深耕晕动病领域,顺利完成《Multi-Dimensional and Objective Assessment of Motion Sickness Susceptibility Based on Machine Learning》原创性研究,成果收录于国际顶级期刊《Frontiers in Neurology》。该研究突破性构建晕动病易感性客观评估模型,其中皮肤颜色的精准量化检测全程由三恩时TS7600分光测色仪精准赋能,以专业测色实力为研究成果提供核心数据支撑。


01 行业痛点凸显
晕动病客观评估成科研刚需
晕动病(Motion Sickness, MS)作为人体对运动状态错误感知引发的生理反应,严重时会出现头晕呕吐、心慌胸闷、四肢冰凉甚至昏迷等症状,对航空、航海等特殊职业人群影响尤为显著。长期以来,晕动病的易感性与严重程度评估,多依赖主观量表判断,存在个体感知差异大、评估结果一致性不足、无法精准量化的核心痛点,难以形成标准化评估体系。开发多维度、客观化的晕动病评估方案,成为医学科研与临床应用的关键方向,而皮肤颜色等生理指标的精准检测,是实现客观评估的核心前提。
02 三恩时TS7600强势赋能
精准捕捉肤色核心性能数据
第四军医大学与延安大学联合科研团队,选定三恩时TS7600分光测色仪作为皮肤颜色检测核心设备,依托其科研级测色性能,实现皮肤颜色的精准表征与数据输出,为评估模型搭建筑牢数据根基:

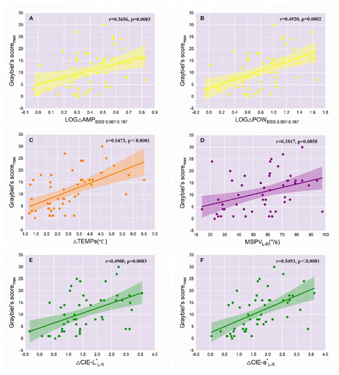
1.肤色指标客观量化:采用国际标准CIE-Lab颜色系统,将人眼主观感知的晕动病相关“脸色苍白”等表现,转化为可精准追溯的数字指标——L值对应肤色明度,L值上升代表肤色亮度增加;a值对应肤色红绿度,a*值下降反映皮肤红色成分减少,彻底摆脱主观判断的局限性,实现肤色变化的客观量化。

2.高精数据稳定可靠:TS7600具备顶尖测色精度,重复性精度ΔE≤0.03,台间差ΔE≤0.15,有效规避光线环境、人员操作、个体差异等外界干扰,确保脸颊皮肤Lab值测量数据的准确性与可重复性。研究中同步采集左右脸颊测色数据并取平均值(CIE-LL−R,CIE-a*L−R)用于分析,为后续统计学处理与机器学习建模提供高质量数据支撑。
3.多维适配科研需求:支持皮肤表面快速精准测色,便携设计适配实验室及户外多场景采样,同时其输出的肤色量化数据,可与胃电活动、皮肤温度、眼震等其他生理参数无缝衔接,共同构成晕动病评估模型的核心数据特征,满足多维度科研分析需求。

03 研究成果斐然
三恩时设备见证技术突破
依托三恩时TS7600提供的精准肤色数据支撑,联合科研团队的研究成果实现多项核心突破,填补晕动病客观评估领域空白:

1.首创肤色关联评估体系:该研究首次实现通过客观测量皮肤颜色,关联评估晕动病严重程度,打破“主观量表主导”的传统模式,为晕动病评估提供全新客观维度;
2.构建高效评估模型:整合TS7600肤色数据与多维度生理参数,结合机器学习算法构建晕动病易感性评估模型,为改进现有晕动病易感性评估方法提供科学参考,大幅提升评估的标准化与精准度;

04 精准测色护航
共拓医学科研新边界
高精度多场景适配的三恩时 TS7600 分光测色仪,已成为医学科研、生物检测领域专业测色工具,此次成功助力第四军医大学与延安大学攻克晕动病客观评估难题,验证了测色仪器在医学生理指标量化中的适配性,拓宽跨行业应用边界;仪器兼顾便携与稳定,实现实验室精准检测与户外快速采样,肤色数据与多生理参数交叉验证筑牢评估模型,延伸至高风险职业晕动病筛查,未来三恩时将持续优化产品与方案,以精准测色赋能多领域突破。
(论文原文可通过期刊官网《Frontiers in Neurology》搜索《Multi-Dimensional and Objective Assessment of Motion Sickness Susceptibility Based on Machine Learning》进行阅读)



